TWbiblio
Valvassori Peroni, 56 e Municipio 3
Vai al contenuto
  • Home
  • INNSE Via Rubattino
    • 2018
      • 20 marzo LA INNSE MILANO SPA E LA COMOZZI INDUSTRIES SPA CONDANNATE A PAGARE UNA RISARCITORIA DI 20 MENSILITA’ A MASSIMO MERLO
    • 2017
    • 2016
    • 2015
    • 2014
    • 2013
    • 2012
    • 2011
    • 2010
    • 2009
    • 2008
    • 2007
    • LA INNSE PRESSE E SILVANO GENTA (2006 -2009)
    • BREVE STORIA DELLA INNSE SINO AL 2006
  • BIBLIOTECA
    • PRESENTAZIONE LIBRI
      • INCONTRI IN BIBLIOTECA 2013
        • GENNAIO
          • 18 gennaio CANTO DEL CAPRO di Stefano Molinari
          • 9 gennaio LA RABBIA E IL CORAGGIO di Frei Giorgio Callegari
        • FEBBRAIO
          • 26 febbraio MEMORIALE SCRITTO SU CARTA CHIMICA di Giuseppe Villa
          • 6 febbraio L’ENIGMA DEL MARE LOMBARDO di Marco Bono e Maurizio Mosca
        • MARZO
          • 21 marzo NOTE AMERICANE di Alessandro Portelli
          • 13 marzo DOVE COMINCIA LA NOTTE di Beatrice Anton Rossetti
        • APRILE
          • 17 aprile “Diciotto passi” di Paola Fargion
          • 12 aprile LA PIETRA DEI SOGNI di Antonella Cavallo
          • 12 aprile UNA MOGLIE IMPERFETTA di Sonja Radaelli
        • MAGGIO
          • 30 maggio “IL CANTO DELLE CICALE” di Giuseppe Augurusa
        • SETTEMBRE
          • 6 settembre FONTANN DE MILAN di Ella Torretta
        • OTTOBRE
          • 30 ottobre L’INGRESSO DEL BAMBINO A SCUOLA
          • 11 ottobre GENOCIDIO di Daniela Danna
        • NOVEMBRE
          • 22 novembre QUALCOSA IN PIU’ con ELEONORA CASTELLANO
          • 7 novembre COME UN TUONO IN CERCA DI PIOGGIA
      • INCONTRI IN BIBLIOTECA 2012
        • GENNAIO
          • 20 gennaio ATLANTE DELLE GUERRE E DEI CONFLITTI DEL MONDO
        • FEBBRAIO
          • 24 febbraio COLMARE IL DEFICIT DI ETICA PUBBLICA: IL COMPITO DELLA SCUOLA
        • MARZO
          • 29 marzo LA BIBLIOTECA PER I RAGAZZI RACCONTATA AGLI ADULTI
          • 15 marzo IL PIANISTA CHE ASCOLTAVA CON LE DITA
          • 1 marzo 10 BUONI MOTIVI PER ANDARE IN BIBLIOTECA
        • APRILE
          • APRILE 2012
        • MAGGIO
          • 31 maggio VIRUS E ALTRI SCEMPI
          • 24 maggio I ROM DI VIA RUBATTINO
          • 22 maggio IN TAXI SEGUENDO IL FILO DEL DISCORSO
          • 17 maggio VIA DELLA PALOMBELLA. UNA BELLA STORIA
        • OTTOBRE
          • 17 ottobre MINIERA
        • NOVEMBRE
          • 23 novembre I SERIAL KILLER DELL’ANIMA
          • 8 novembre IL LATO OSCURO DELLA LUNA
      • INCONTRI IN BIBLIOTECA 2011
        • NOVEMBRE
          • 22 novembre JOHN ZORN musicista compositore esploratore di Maurizio Principato
        • SETTEMBRE
          • 9 settembre LE PASIONARIE STORIE DI DONNE CHE HANNO CAMBIATO IL MONDO
        • GIUGNO
          • 7 giugno AMORE E ALTRE STORIE di Gabriella April Stefanucci
        • MAGGIO
          • 26 maggio NEL NOME DELL’ITALIA: il Risorgimento nelle testimonianze, nei documenti e nelle immagini a cura di Alberto Mario Banti
          • 24 maggio MEMORIE DI UN CARTOGRAFO VENEZIANO
          • 5 maggio PRETE DA GALERA: don Luigi Melesi racconta storie di chi sta in carcere e di chi mai ha pensato di entrarci di Silvio Valota
        • APRILE
          • 27 aprile LE INCHIESTE DEL COMMISSARIO DONDINA di Albertina Fancetti
        • MARZO
          • 3 marzo QUANDO IO ERO PICCOLO: STORIE DA CONDIVIDERE di Giovanni Maria Bosisio
        • FEBBRAIO
          • 17 febbraio RACCONTI SPARSI NEL TEMPO
        • GENNAIO
          • 11 gennaio CINEMA & VIDEOTERAPIA: COME LE IMMAGINI CURANO L’ANIMA
    • CONFERENZE/INCONTRI
      • 2015
      • 2014
      • 2013
        • DICEMBRE
          • 10 dicembre VIVACITA’ O IPERATTIVITA’? IL BAMBINO DIFFICILE DA GESTIRE
        • OTTOBRE
          • 30 ottobre L’INGRESSO DEL BAMBINO A SCUOLA: IL PROBLEMA DELLA SEPARAZIONE DALLA FAMIGLIA
        • MARZO
          • 28 marzo 2013 PALLOTTOLE E PAILLETTES
        • GENNAIO
          • 25 gennaio STELLE , PIUME E VIOLINI
      • 2012
      • 2011
        • OTTOBRE
          • 18 ottobre LEGGERERE ASCOLTANDO LEGGERE DIGITANDO FA BENE AL LEGGERE!!
    • LABORATORI DI LETTURA PER BAMBINI
      • LABORATORI DI LETTURA PER BAMBINI 2015
        • 11 marzo MI PIACCIONO I LIBRI
      • LABORATORI DI LETTURA PER BAMBINI 2014
        • VETRINE – BIBLIOGRAFIE DI LIBRI PER BAMBINI 2014
          • 11 giugno LIBRI SUL PODIO
          • 16 aprile 13 maggio PIRATI DI CARTA
          • 19 febbraio C’ERA UNA VOLTA UNA FIABA. FIABE TRADIZIONALI E FIABE RIVISITATE
        • 19 novembre L’ORCO CHE MANGIAVA I BAMBINI
      • LABORATORI DI LETTURA PER BAMBINI 2013
        • VETRINE – BIBLIOGRAFIE DI LIBRI PER BAMBINI 2013
          • 16 ottobre 12 novembre 2013 E ADESSO … MUSICA!
          • Dicembre 2013 RACCONTI AL BUIO
      • LABORATORI DI LETTURA PER BAMBINI 2012
        • VETRINE – BIBLIOGRAFIE DI LIBRI PER BAMBINI 2012
      • LABORATORI DI LETTURA PER BAMBINI 2011
        • VETRINE – BIBLIOGRAFIE DI LIBRI PER BAMBINI 2011
      • LABORATORI DI LETTURA PER BAMBINI 2010
    • GRUPPO DI LETTURA
      • LETTURE 2014
        • 10 marzo LA MORTE DI IVAN IL’Ič
        • 27 gennaio Il gruppo di lettura incontra CARLO BRUGNONE
        • 13 gennaio GRUPPO DI LETTURA
      • LETTURE 2012-2013
        • 25 novembre GRUPPO DI LETTURA
      • LETTURE 2011-2012
      • LETTURE 2009-2010
    • SEZIONE IPOVEDENTI
      • INIZIATIVE
        • INIZIATIVE 2014
          • Corso di formazione LE NUOVE TECNOLOGIE A SUPPORTO DEGLI STUDENTI CON DISABILITA’ SENSORIALE
          • Corso di formazione LE NUOVE TECNOLOGIE A SUPPORTO DEGLI STUDENTI CON DISABILITA’ SENSORIALE
          • 27 settembre GIORNATA MONDIALE E NAZIONALE DELLA RETINA
          • 24 maggio IL CANTIERE DELLE COMPETENZE FAMILIARI
        • INIZIATIVE 2013
        • INIZIATIVE 2012
          • 29 novembre LEGGERE CON I SENSI
          • 9 dicembre BUONO DA MORIRE! per ridere, riflettere, mangiare meglio in tempi di crisi
        • INIZIATIVE 2011
        • INIZIATIVE 2010
      • SERVIZIO TOMMASO
  • VIDEO
    • BIBLIOTECA E DINTORNI
      • 2014
        • MARZO 2014
          • 30 marzo STORIA DI UN ALBERO
          • 29 marzo BRINDISI PER IL COMPLEANNO DELLA BIBLIOTECA
          • 26 marzo CONCERTO HARMELINE BAND
          • 21 marzo BUON COMPLEANNO BIBLIOTECA
          • 21 marzo TOWNSCAPES – PAESAGGI URBANI IERI E OGGI
        • GENNAIO 2014
          • 22 gennaio Incontro pubblico: Parco Media Valle Lambro 2.0
      • 2013
        • NOVEMBRE 2013
          • 11 novembre 10 ANNI DEL SERVIZIO TOMMASO
        • DICEMBRE 2013
          • 14 dicembre ESCLUSO IL CANE di RINO GAETANO nell’interpretazione dei REGGAMOTION
    • REPORTAGE
      • ROCCO IN VIA BIRAGO 2
      • UN GIORNO IN CICLOFFICINA AUTOGESTITA RUOTA LIBERA, FACOLTÀ DI AGRARIA
      • VALVASSORI PERONI – LA MIA BIBLIOTECA
      • CAM ZONA 3 – MILANO
      • CIESSEVI – CENTRO SERVIZI PER IL VOLONTARIATO PER LA PROVINCIA DI MILANO
      • DA LAMBRA’ AL LAMBRETTO
        • LAMBRATE
      • IL TEMPO CANCELLA LE IMMAGINI
    • VIDEOCONSIGLI DI LETTURA
      • DI LA’ DEL FIUME E TRA GLI ALBERI
      • IL COMMISSARIO BORDELLI
      • DA GRANDE FARO’ …
    • BOOK TRAILER
      • SUNSET LIMITED
      • LA LINCE
  • I LOVE MUNICIPIO 3
    • AUDITORIUM
      • 2013
        • DICEMBRE 2013
          • 1 dicembre LA BESTIA E L’UOMO
          • 4 dicembre COSTITUZIONE ELENCO SOGGETTI FORNITORI COWORKING
          • 13 dicembre CESARE DEVE MORIRE
          • 16 dicembre DI QUESTE STORIE SBAGLIATE
          • 21 dicembre IL DESTINO DI LUDWING
          • 22 dicembre RAGA FESTA 2013
        • NOVEMBRE 2013
          • 24 novembre TARSHED Verso rifiuti zero
          • 7 novembre MUSICA AL TEMPO DEL BOCCACCIO
        • OTTOBRE 2013
          • 26 ottobre CONVEGNO IN ONORE DI NANDO IOPPOLO
          • 25 ottobre 2003 YELLOW SUBMARINE
          • 19 ottobre IO MI MANGIO LA LUNA
          • 18 ottobre 2013 MISSING (SCOMPARSO)
          • 11 ottobre 2013 GARAGE OLIMPO
          • 8 ottobre QUALE SCUOLA DOPO LA TERZA MEDIA_
          • 4 ottobre 2013 COMPLICI DEL SILENZIO
        • SETTEMBRE 2013
          • 27 settembre SALVADOR
          • 20 settembre POST MORTEM
          • 13 SETTEMBRE SALVADOR ALLENDE
        • LUGLIO 2013
          • 6 luglio I SEGRETI DELLA MATEMATICA E DELLA LETTERATURA
        • GIUGNO 2013
          • 28 giugno CAMPO THIAROYE
          • 27 GIUGNO LE TRAPPOLE DELLA VIOLENZA SUL FEMMINILE
          • 21 giugno BELVA DI GUERRA
          • 14 giugno OMAR MUKHTAR – Il LEONE DEL DESERTO
          • 7 giugno LA BATTAGLIA DI ALGERI
          • 6 GIUGNO LA POSIZIONE FEMMINILE TRA VITTIMA E CARNEFICE
        • MAGGIO 2013
          • 31 maggio PASSAGGIO IN INDIA
          • 24 maggio ZULU
          • 24 maggio – 28 giugno I COLONIALISMI
          • 13 maggio CHIEDIAMOCI COSA SARà IL PD – Incontro con Pippo Civati
          • 10 maggio ARTE DA MANGIARE MANGIARE ARTE
          • 23 maggio PROIEZIONI DI DOCUMENTARI SULLECASCINE DEL MILANESE
          • 6-14 maggio TRE GIORNI E POI L’INFERNO
        • APRILE 2013
          • 9 aprile PROGETTO BIGENERITORIALITA’
          • 20 aprile DEI TEMPI BUI SI CANTERA’
        • MARZO 2013
          • 9 marzo PICCOLO COMIZIO D’AMORE – L’AMORE AIUTA A VIVERE A DURARE
          • 10 marzo DOTTORE , C’HO LA VAGINA PECTORIS!
      • 2012
        • MARZO 2012
          • 9 marzo NON MALE…PER UNA DONNA! STORIE DI ORDINARIA DISCRIMINAZIONE
          • 15 marzo STOP ALLA VIOLENZA SULLE DONNE
          • 22 marzo PIANTE E ALIMENTAZIONE
          • 27 marzo I DIRITTI DELLE DONNE DETENUTE
        • APRILE 2012
          • 14 aprile 2012 LA MIA RESISTENZA
          • 21 aprile LA LIBERTA’ LA VA A MINUTI
          • 24 aprile SCUOLE PER LA LIBERAZIONE
        • MAGGIO 2012
          • 8 maggio – 5 giugno Ciclo di film sul tema: VIOLENZA CONTRO LE DONNE
          • 17 maggio 2 VOLTE GENITORI
          • 28 maggio GENITORI PER SCELTA
        • GIUGNO 2012
          • 9 giugno WORKSHOP PER LA DEMOCRAZIA DIRETTA
          • 25 giugno – 6 luglio MatildeTrapassi VARIAZIONI
        • LUGLIO 2012
          • 17 luglio 2012 L’IMPERFEZIONE DELLA MENTE
        • NOVEMBRE 2012
          • 30 novembre 1 dicembre STAGIONE DELLA CULTURA
        • DICEMBRE 2012
          • 8 dicembre CIBO E IDENTITA’
          • 9 dicembre AFRO SKULL
          • 14 dicembre MEMORIA AD ALTA VOCE
          • 15-16 dicembre MUSICA E GIOVANI
          • 21 dicembre 2012 REGALAMI PACE
      • 2011
        • NOVEMBRE
          • 6 Novembre Il quartetto d’Archi laVerdi celebra i 150 anni dell’Unità d’Italia
          • 25 novembre 5 dicembre STAGIONE DELLA CULTURA
          • 26 novembre PRESENTAZIONE DI Z3XMI
      • 2010
        • NOVEMBRE
      • 2009
        • NOVEMBRE
          • 28 novembre CROMOSOMI XX. QUANDO L’ARTE EMANCIPA LE DONNE
        • OTTOBRE
          • 24 -25 ottobre SUPER8FILMFESTIVAL
        • GIUGNO
          • 8 giugno CONCERTI IN PERIFERIA
          • 12 giugno CONCERTI IN PERIFERIA
        • MAGGIO
          • 16 Maggio DE ANDRE’ IN BIBLIOTECA. STORIA DI UN CANTAUTORE
          • 29 maggio CONCERTI IN PERIFERIA
    • CAM ZONA 3
      • Attività del CAM nel 2012
      • Attività del CAM nel 2009
    • 2014
      • NOVEMBRE 2014
      • LUGLIO 2014
      • MAGGIO 2014
      • APRILE 2014
      • MARZO 2014
      • FEBBRAIO 2014
      • GENNAIO 2014
    • 2013
      • DICEMBRE 2013
      • NOVEMBRE 2013
  • CHI ERAVAMO
    • BIBLIOSHOT
      • BIBLIOSHOT
      • INTERVISTARE CON 2 TELECAMERE

← L’ARMISTIZIO DEL SINDACATO. PROPONE DI MODIFICARE GLI ACCORDI SOTTOSCRITTI DA COMOTTI NEL 2009 IN CAMBIO DI …

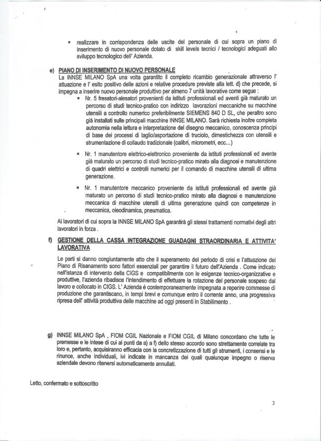
20160908 accordo 004

By TWB | Published 10 agosto 2017 | Full size is 1700 × 2338 pixels

20160908 accordo 003
20160908 accordo 005

Condividi

  • Condividi su X (Si apre in una nuova finestra) X
  • Stampa (Si apre in una nuova finestra) Stampa
  • Condividi su Facebook (Si apre in una nuova finestra) Facebook
  • Condividi su Pinterest (Si apre in una nuova finestra) Pinterest
  • Altro
  • Condividi su WhatsApp (Si apre in una nuova finestra) WhatsApp
  • Invia un link a un amico via e-mail (Si apre in una nuova finestra) E-mail
  • Condividi su Tumblr (Si apre in una nuova finestra) Tumblr
  • Condividi su Telegram (Si apre in una nuova finestra) Telegram
Mi piace Caricamento...
Contrassegna il permalink.

Lascia un commento Cancella risposta

TWbiblio
Blog su WordPress.com.
  • Commenta
  • Abbonati Abbonato
    • TWbiblio
    • Unisciti ad altri 110 abbonati
    • Hai già un account WordPress.com? Accedi ora.
    • TWbiblio
    • Abbonati Abbonato
    • Registrati
    • Accedi
    • Copia shortlink
    • Segnala questo contenuto
    • Visualizza articolo nel Reader
    • Gestisci gli abbonamenti
    • Riduci la barra
%d